A REVERSE INEQUALITY FOR THE WEIGHTED AM-GM INEQUALITY
Du Thi Hoa Binh, Nguyen Duy Ai Nhan, Nguyen Du Thai, Dang Thi Thuy Nga
Email: nguyenduyainhan@husc.edu.vn
Tóm tắt
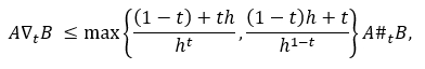
This paper presents a reverse inequality for the matrix version of the weighted Arithmetic Mean - Geometric Mean (AM-GM) inequality. More precisely, for t ∈ (0,1), 0 < mIn ≤ A,B ≤ MIn, where m, M are two positive real numbers, we prove that

where #t, ∇t are the weighted geometric mean and the weighted arithmetic mean, respectively, and h=M/m.
Từ khóa
Matrix mean, arithmetic mean, geometric mean, reverse inequality, representing functions
File tóm tắt: Chưa tải lên
mucluc.pdf
